[content:title] [content:title] [content:title] [content:title] [content:title]
纳米纤维素水凝胶 NH100
纳米纤维素水凝胶的生物相容性和可降解性使其成为理想的细胞培养支架,支持细胞附着、增殖及组织再生, 通过调控水凝胶的交联密度和结构,实现药物的可控释放和靶向输送,提升治疗效果,提供湿润愈合环境,加速伤口修复,同时具备抗菌和止血功能。
型号:纳米纤维素水凝胶 NH100
产品描述
基本参数

image.png

产品种类
产品外观
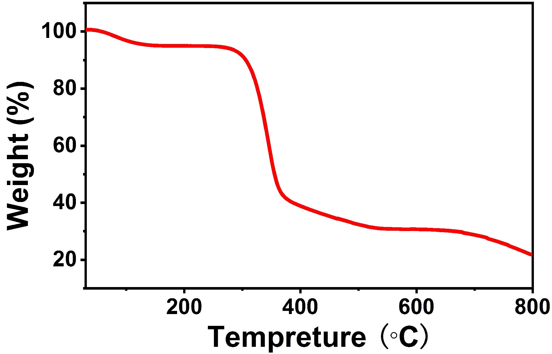
产品表征
应用领域
注意事项
CONTACT
公海555000JC线路检测中心科技坐落于桂林市七星区铁山路桂林国家高新区英才科技园,专业从事于新兴材料纳米纤维素的生产、研发和销售。

公海555000JC线路检测中心

联系人:何先生

电话:18926068686

邮箱:heray@cellunano.com

地址:广西桂林市七星区铁山路桂林国家高新区英才科技园A-24号

 Copyright © 2025 公海555000JC线路检测中心科技 版权所有  桂ICP备38905856号-1
公海555000JC线路检测中心


网站地图